Pair of Linear Equations in Two Variables
Pair of Linear Equations in Two Variables
A linear equation in two variables is an equation of the form:

1. Graphical Method of Solution
Steps:

2. Algebraic Methods of Solution
There are three main methods:
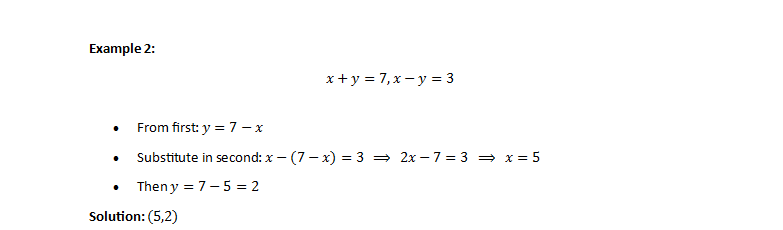
A. Substitution Method
1. Solve one equation for one variable.
2. Substitute in the second equation.
3. Solve for the remaining variable.
4. Back-substitute to find the first variable.

B. Elimination Method
1. Multiply one or both equations (if necessary) so coefficients of a variable are equal.
2. Add or subtract equations to eliminate a variable
3. Solve for remaining variable.
4. Back-substitute to find the other variable.

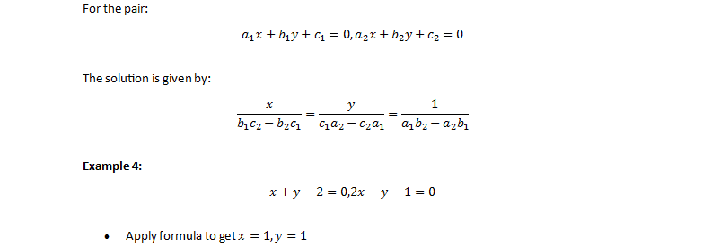
C. Cross-Multiplication Method

3. Types of Solutions
1. Unique Solution: Lines intersect at one point → Consistent and independent
2. No Solution: Lines are parallel → Inconsistent.
3. Infinite Solutions: Lines coincide → Consistent and dependent
4. Condition for Solvability

5. Word Problems
1. Age problems
2. Number of items or money
3. Distance-speed-time
4. Mixture problems
Example 5:
A fruit seller sold 50 apples and 30 oranges for ₹350. Another day he sold 30 apples and 20 oranges for ₹210. Find the cost of each apple and orange.
• Let apple = ₹x, orange = ₹y
• Equations:

6. Summary Table

7. Exercises for Practice

This chapter explanation is complete, sequential, and includes definitions, methods, examples, word problems, and exercises just like a textbook.