Polynomials
Polynomials
A polynomial is an algebraic expression made up of variables (also called indeterminates) and coefficients, combined using addition, subtraction, and multiplication. Polynomials are fundamental in algebra, helping us model real-world problems like growth, motion, and area calculations.
1. Definition of Polynomial

2. Degree of a Polynomial
• Definition: The highest power of the variable in a polynomial is called its degree.

3. Types of Polynomials
1. Constant Polynomial: Degree = 0
Example: 7
2. Linear Polynomial: Degree = 1
Example: 2x + 5
3. Quadratic Polynomial: Degree = 2
Example: x² × 3x + 2
4. Zeros of a Polynomial



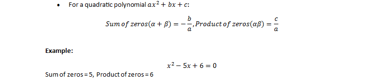
9. Relation Between Zeros and Coefficients

10. Exercises for Practice

This chapter explanation is complete, stepwise, and includes definitions, examples, theorems, and exercises like a textbook.